正航技术整理温度计量名词术语规范
正航技术整理温度计量名词术语规范一般术语
1 热平衡 (Thermal equilibrium)
当物休吸收的热量等于放出的热量,物体各部分都具有相同的温度时,物体呈热平衡;
或两个以及多个物体之间,通过热量交换,彼此都具有相同的温度时,物体间呈热平衡。
2 温度 (Temperature)
温度是描述系统不同自由度之间能量分布状况的基本物理量。温度是决定一系统是否与
其他系统处于热平衡的宏观性质,一切互为热平衡的系统都具有相同的温度。
分子运动论以微观的角度来观察,温度是与大量分子的平均动能相联系,它标志着物体
内部分子无规则运动的剧烈程度。
注:
温度是七个基本物理量之一。
3 测温学 (Thermometry)
研究温度测量的理论和方法。
4 温标 (Temperature scale)
温度的数值表示法。
5 经验温标 (Experimental temperature scale)
借助于某物质的物理参量与温度变化的关系,用实验方法或经验公式构成的温标。
例:
现行的实用温标,曾采用过的摄氏温标和华氏温标等。
6 热力学温标 (Thermodynamic temperature scale)
以热力学第二定律为基础的温标。
注:
根据卡诺定理的推论可知,工作于两个恒定热源之间的一切可逆卡诺热机的效率与工作
物质无关,只与两个热源的温度有关。这样定义的温标称为热力学温标或开尔文温标。
7 热力学温度 (Thermodynamic temperature)
按热力学原理所确定的温度。
注:
热力学温度是既能统一,又能描述热力学性质和现象的温度。
8 开尔文 (Kelvin)
热力学温度的单位。开尔文定义为水三相点热力学温度的 1/273.16。符号为K。
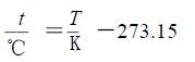
9 摄氏温度 (Celsius temperature)
以热力学温度与比水三相点低 0.01 K 的热状态之差来表示的温度。符号为℃。
注:
摄氏温度 t 与热力学温度T 之间的数值关系为:

10 摄氏度 (Degree Celsius)
是摄氏温度的单位,它的大小等于开尔文。
11 实用温标 (International Practical Temperature Scale)
由协议而采用的易于高精度复现,并在当时知识和技术水平范围内尽可能接近热力
学温度的经验温标。
注:
(1) 现行的实用温标是“1968 年实用温标(1975 年修订版)”。它包括13 个定
义固定点 (这些固定点已由气体温度计做了的测定);规定的内插仪器和温度与相应物
理量的函数关系。
(2) 1976 年0.5~30 K暂行温标 (1976 Provisional 0.5~30 KTemperature Scale) 属于暂时
补充1968 年实用温标的温标,它包括11 个固定点并赋予一定的热力学温度值。各固定
点之间的温度值可用气体温度计或磁温度计来实现。5.2 K以下可使用3He 和4He 蒸气压温
标。EPT-76 通过锗温度计或铑铁温度计等次级标准温度计传递。
12 温标的复现 (Realization of a temperature scale)
按温标的文本所规定的程序操作。
13 温标的次级复现 (Secondary realization of a temperaturescale)
指一处或几处偏离温标的文本所规定的程序操作。
注:
“次级复现”与温标的偏离值应有所规定。
14 温度计 (Thermometer)
测量温度的仪器。
15 (温度计的) 检定 (Verification)
为评定温度计的计量性能 (准确度、稳定性、灵敏度等) 并确定其是否合格所进行的全
部工作。
16 (温度计的) 分度 (Calibration)
温度计获得被测参数与温度之间的关系的过程。
注:
(1) 复现法分度是指在温标复现中,把温度计当作内插仪器而获得结果的过程。
(2) 比较法分度是指在可变等温场中与已分度的温度计作比较的过程。
17 (温度测量的) 复现性 (Reproducibility)
由不同的观测者、用不同的测量方法,使用不同的温度计量仪器,在不同的地点,于一
段时间间隔内,对同一被测的温度进行测量时,其结果之间的符合程度。
注:
复现性可用测量结果的分散性来定量表示。
18 (温度测量的) 重复性 (Repeatability)
由同一观测者、用相同的测温方法,使用同一温度计量仪器,在同一地点,于很短的时
间间隔内,对同一被测温度作多次测量时,其结果之间的符合程度。
19 (温度计的) 稳定性 (Stability)
温度计具有保持其计量特性恒定的能力。
注:
通常稳定度是指对时间的稳定度,当考虑对别的量的稳定度时,应该明确规定。
20 非性 (Non-uniqueness)
将在固定点下已分度的温度计插入均匀温场中,按规定的公式计算各温度计在固定点之
间的温度,各温度计指示的相互差异就是温标定义的非性。
21 (温度计的) 灵敏度 (Sensitivity)
温度计的响应变化除以相应的激励变化。
22 (温度计的) 时间常数 (Time constant)
由于被测量的阶跃变化,计量仪表输出上升到最终值的63.2%时所需的持续时间。
23 (温度计的) 响应时间 (Response time)
激励受到突变时刻起,直至响应到达某一规定时刻为止的时间间隔。
24 (温度计的) 漂移 (Drift)
温度计的计量特性随时间的慢变化。
25 温度传感器 (Temperature sensor or transducer)
凡直接或非直接受被测温度场作用并进行信息转换的元件。
26 相 (Phase)
是系统中物理性质均匀的部分。这是物质分子集结的特定形式。
27 相变 (Phase transition)
在特定的温度和压强下,一种相可以转变为另一种相,称为相变。
注:
对于单元系,体积发生变化,并伴有相变潜热的相变称为一级相变,例如,固体熔化为
液体,液体汽化为气体,固体升华为气体;体积不发生变化,也没有相变潜热。只是热容量、
热膨胀系数、等温压缩系数三者发生突变的相变称为二级相变。
例如:
液态氦Ⅰ和氦Ⅱ间的转变,超导体由正常态转变为超导态均属于此类相变。